Activités
activité 9.1
Construisez un graphe de réseau social à partir des informations suivantes :
- A est ami avec B et E
- B est ami avec A et C
- C est ami avec B,F et D
- D est ami avec C,F et E
- E est ami avec A,D et F
- F est ami avec C, D et E
activité 9.2
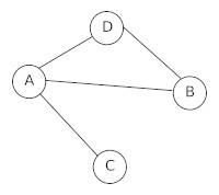
Soit le graphe suivant :

Déterminez sa matrice d'adjacence.
activité 9.3
Établissez la liste d'adjacence du graphe ci-dessous.

activité 9.4
Soit la matrice d'adjacence d'un graphe G composé des sommets A, B, C, D :

-
le graphe G est-il orienté ou non-orienté ? Justifiez votre réponse.
-
représentez ce graphe G
activité 9.5
Soit G un graphe non-orienté implémenté en Python comme suit :
Représentez le graphe G.