Activités
activité 7.1
Trouvez un autre exemple de données qui peuvent être représentées par un arbre binaire (dans le domaine de votre choix). Dessinez au moins une partie de cet arbre binaire. Déterminez la hauteur et la taille de l'arbre que vous aurez dessiné.
activité 7.2
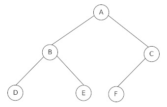
Soit l'arbre binaire suivant :

1) Cet arbre est-il un arbre binaire ? Justifiez votre réponse.
2) Donnez la clé (valeur) de la racine de cet arbre.
3) Quels sont les fils du noeud B.
4) Donnez l'arbre droit du noeud A.
5) Le noeud C est-il une feuille ? Justifiez votre réponse.
6) Donnez la taille de cet arbre.
7) Donnez la profondeur du noeud B (on prendra la profondeur de la racine égale à 0).
8) Donnez la hauteur de cet arbre (on prendra la profondeur de la racine égale à 0).
activité 7.3

1) Expliquez pourquoi cet arbre binaire n'est pas un arbre binaire de recherche.
2) Modifiez cet arbre pour le transformer en arbre binaire de recherche.
activité 7.4
Soit les valeurs suivantes : 14, 22, 8, 47, 42, 13, 1, 24, 33, 74.
Construisez un arbre binaire de recherche à partir de ces valeurs.