Activités
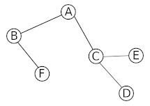
activité 10.1
Appliquez l'algorithme du parcours en largeur d'abord au graphe ci-dessous. Le 'point de départ' de notre parcours sera le sommet A. Vous noterez les sommets atteints à chaque étape ainsi que les sommets présents dans la file f. Vous pourrez aussi, à chaque étape, donner les changements de couleur des sommets.

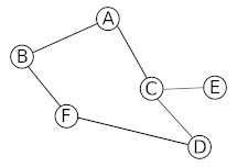
activité 10.2
Appliquez l'algorithme du parcours en profondeur d'abord au graphe ci-dessous (d'abord avec l'algorithme récursif puis ensuite avec l'algorithme non récursif). Le 'point de départ' de notre parcours sera le sommet A. Vous noterez les sommets atteints à chaque étape ainsi que les sommets présents dans la pile p. Vous pourrez aussi, à chaque étape, donner les changements de couleur des sommets.

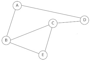
activité 10.3
Appliquez l'algorithme de détection d'un cycle au graphe ci-dessous (vous partirez du sommet de votre choix).

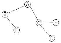
activité 10.4
Appliquez l'algorithme de détection d'un cycle au graphe ci-dessous (vous partirez du sommet de votre choix).

activité 10.5
Appliquez l'algorithme permettant de trouver une chaine entre un noeud de départ (start) et un noeud d'arrivée (end) au graphe ci-dessous (vous choisirez les noeuds de départ et d'arrivée de votre choix).

activité 10.6
1)
Soit le graphe suivant :

Proposez une implémentation de ce graphe en Python (graphe 1 dans la suite de cette activité)
2)
Soit l'algorithme de parcours en largeur d'abord :
VARIABLE
G : un graphe
s : noeud (origine)
u : noeud
v : noeud
f : file (initialement vide)
//On part du principe que pour tout sommet u du graphe G, u.couleur = blanc à l'origine
DEBUT
s.couleur ← noir
enfiler (s,f)
tant que f non vide :
u ← defiler(f)
pour chaque sommet v adjacent au sommet u :
si v.couleur n'est pas noir :
v.couleur ← noir
enfiler(v,f)
fin si
fin pour
fin tant que
FIN
3)
Soit l'algorithme de parcours en profondeur d'abord (version non récursive):
VARIABLE
s : noeud (origine)
G : un graphe
u : noeud
v : noeud
p : pile (pile vide au départ)
//On part du principe que pour tout sommet u du graphe G, u.couleur = blanc à l'origine
DEBUT
empiler(s,p)
tant que p n'est pas vide :
u ← depiler(p)
si u.couleur n'est pas noir :
u.couleur ← noir
pour chaque sommet v adjacent au sommet u :
empiler(v,p)
fin pour
fin si
fin tant que
FIN
4)
Soit l'algorithme de parcours en profondeur d'abord (version récursive):
VARIABLE
G : un graphe
u : noeud
v : noeud
//On part du principe que pour tout sommet u du graphe G, u.couleur = blanc à l'origine
DEBUT
PARCOURS-PROFONDEUR(G,u) :
u.couleur ← noir
pour chaque sommet v adjacent au sommet u :
si v.couleur n'est pas noir :
PARCOURS-PROFONDEUR(G,v)
fin si
fin pour
FIN
5)
Soit l'algorithme de détection des cycles :
VARIABLE
s : noeud (noeud quelconque)
G : un graphe
u : noeud
v : noeud
p : pile (vide au départ)
//On part du principe que pour tout sommet u du graphe G, u.couleur = blanc à l'origine
DEBUT
CYCLE():
piler(s,p)
tant que p n'est pas vide :
u ← depiler(p)
pour chaque sommet v adjacent au sommet u :
si v.couleur n'est pas noir :
empiler(v,p)
fin si
fin pour
si u est noir :
renvoie Vrai
sinon :
u.couleur ← noir
fin si
fin tant que
renvoie Faux
FIN

6)
Soit l'algorithme de recherche de chaine entre 2 sommets :
VARIABLE
G : un graphe
start : noeud (noeud de départ)
end : noeud (noeud d'arrivé)
u : noeud
chaine : ensemble de noeuds (initialement vide)
DEBUT
TROUVE-CHAINE(G, start, end, chaine):
chaine = chaine ⋃ start //le symbol ⋃ signifie union, il permet d'ajouter le noeud start à l'ensemble chaine
si start est identique à end :
renvoie chaine
fin si
pour chaque sommet u adjacent au sommet start :
si u n'appartient pas à chaine :
nchemin = TROUVE-CHAINE(G, u, end, chaine)
si nchemin non vide :
renvoie nchemin
fin si
fin si
fin pour
renvoie NIL
FIN