Activités
activité 16.1
Cette activité s'inspire librement du contenu du livre de Cormen, Leiserson, Rivest et Stein "Introduction to Algorithms" (édition The Mit Press)
L'entreprise sun & steel produit et vend des barres d'acier de différentes longueurs. Voici le prix de vente de ces barres d'acier en fonction de leurs longueurs :
| longueur i en mètre | prix p en euro |
|---|---|
| 1 | 1 |
| 2 | 5 |
| 3 | 8 |
| 4 | 9 |
| 5 | 10 |
| 6 | 17 |
| 7 | 17 |
| 8 | 20 |
| 9 | 24 |
| 10 | 30 |
Quand l'entreprise produit une barre de longueur n, elle a 2 possibilités :
- vendre la barre telle quelle
- découper la barre afin d'obtenir plusieurs barres plus petites
Par exemple pour une barre de 4 m de longueur l'entreprise peut :
- vendre la barre de 4 m ; gain = 9 euros
- découper la barre en 2 => 4 = 2 + 2 et vendre ces 2 barres ; gain = 5+5 = 10 euros
- découper la barre en 2 => 4 = 1 + 3 et vendre ces 2 barres ; gain = 8+1 = 9 euros
- découper la barre en 3 => 4 = 1+1+2 et vendre ces 3 barres ; gain = 1+1+5 = 7 euros
- ...
1- Continuez la liste ci-dessus afin d'obtenir toutes les possibilités pour une barre de 4 m. Quel est le revenu maximum possible pour la société ?
Partons maintenant du principe qu'au départ, la barre ne fait plus forcement 4 m mais qu'elle fait n mètres (n compris entre 1 et 10).
Pour chaque longueur n on peut déterminer le revenu maximum possible (que l'on notera rn). Par exemple :
-
pour n = 1 le revenu maximum sera de 1 euro, on aura donc r1 = 1
-
pour n = 2, il y a 2 possibilités :
- on ne découpe pas la barre (revenu = 5)
- on découpe la barre en 2 (revenu = 1+1 = 2)
on obtiendra donc r2 = 5
-
pour n = 3, il y a 3 possibilités :
- on ne découpe pas la barre (revenu = 8)
- on découpe la barre en 2 (3 = 1+2 ; revenu = 1+5 = 6)
- on découpe la barre en 3 (3 = 1+1+1 ; revenu = 1+1+1 = 3)
on obtiendra donc r3 = 8
-
pour n = 4, il y a 5 possibilités :
- on ne découpe pas la barre (revenu = 9)
- on découpe la barre en 2 (4 = 2+2 ; revenu = 5+5 = 10)
- on découpe la barre en 2 (4 = 1+3 ; revenu = 1+8 = 9)
- on découpe la barre en 3 (4 = 1+1+2 ; revenu = 1+1+5 = 7)
- on découpe la barre en 4 (4 = 1+1+1+1 ; revenu = 1+1+1+1 = 4)
on obtiendra donc r4 = 10
-
pour n = 5, il y a 7 possibilités :
- on ne découpe pas la barre (revenu = 10)
- on découpe la barre en 2 (5 = 2+3 ; revenu = 5+8 = 13)
- on découpe la barre en 2 (5 = 1+4 ; revenu = 1+9 = 10)
- on découpe la barre en 3 (5 = 1+1+3 ; revenu = 1+1+8 = 10)
- on découpe la barre en 3 (5 = 1+2+2 ; revenu = 1+5+5 = 11)
- on découpe la barre en 4 (5 = 1+1+1+2 ; revenu = 1+1+1+5 = 8)
- on découpe la barre en 5 (5 = 1+1+1+1+1 ; revenu = 1+1+1+1+1 = 5)
on obtiendra donc r5 = 13 - ...
L'idée de cette activité est d'écrire un programme Python qui permettra d'obtenir tous les rn avec n compris entre 1 et 10.
On peut remarquer qu'il est aussi possible de calculer r5 en appliquant la relation suivante :
r5 = max(p5, r1 + r4, r2 + r3, r3 + r2, r4 + r1)
avec :
- p5 le prix de la barre de 5 m
- r1 le meilleur revenu possible pour 1 barre de 1 m (c'est-à-dire 1)
- r2 le meilleur revenu possible pour 1 barre de 2 m (c'est-à-diree 5)
- r3 le meilleur revenu possible pour 1 barre de 3 m (c'est-à-dire 8)
- r4 le meilleur revenu possible pour 1 barre de 4 m (c'est-à-dire 10)
Nous avons donc :
r5 = max(10, 1+10, 5+8, 8+5, 10+1) = max(10,11,13,13,11) = 13
Il est possible de généraliser cette relation en écrivant :
rn = max(pn, r1+rn-1, r2+rn-2, ..., rn-1+r1)
2- Retrouvez la valeur de r4 en utilisant la relation ci-dessus
On remarque que pour calculer rn, il faut calculer rn-1, rn-2, ...
Cela devrait vous rappeler quelque chose : dans le chapitre consacré aux fonctions récursives nous avons vu que pour calculer la factorielle de n , il faut calculer la factorielle de n-1, la factorielle de n-2 ... Nous allons donc pouvoir écrire une fonction récursive afin de pouvoir résoudre notre problème (calculer tous les rn pour n compris entre 1 et 10).
Avant d'écrire cette fonction récursive, analysons un peu la relation vue ci-dessus :
rn = max(pn, r1+rn-1, r2+rn-2,..., rn-1+r1)
Dans cette relation, le premier élément (pn) correspond au cas où la barre n'est pas découpée. Les autres éléments correspondent au cas où l'on découpe la barre en 2 morceaux de longueurs i et n-i avec i compris entre 1 et n (avec n inclus).
Il est donc possible de modifier la relation vue ci-dessus et d'écrire :
rn = max(pi+rn-i) avec i compris entre 1 et n (n inclus)
Par exemple, pour n=5, on retrouve :
r5 = max(p1+r4, p2+r3, p3+r2, p4+r1, p5+r0) avec r0 le revenu maximum pour une barre de longueur nulle (on a donc r0 = 0)
Pour calculer r5 il est donc nécessaire de calculer r4 :
r4 = max(p1+r3, p2+r2, p3+r1, p4+r0)
mais il est aussi nécessaire de calculer r3, r2 et r1 à la fois pour calculer r5 mais aussi pour calculer r4 ... On retrouve bien notre structure récursive.
N.B : Si vous avez du mal à comprendre le pourquoi du comment de la relation vue ci-dessus (rn = max(pi+rn-i) avec i compris entre 1 et n (n inclus)), cela n'a pas une grande importance, contentez-vous de l'utiliser (le but de cette activité est ailleurs).
3- La fonction revenu_barre ci-dessous prend en paramètre la taille n de la barre (avant découpe) et renvoie le revenu maximum possible pour cette barre de longueur n :
def revenu_barre(n):
prix = [0,1,5,8,9,10,17,17,20,24,30]
if n == 0:
return ...
r = float('-inf')
for i in range(1, n+1):
r = max(r, prix[i] + ...)
return r
Compétez la fonction revenu_barre
4- Utilisez la fonction revenu_barre pour calculer r5, r6, r7, r8, r9 et r10
5- L'entreprise a modifié ces tarifs, nous avons maintenant le tableau suivant :
| longueur i en mètre | prix p en euro |
|---|---|
| 1 | 1 |
| 2 | 6 |
| 3 | 9 |
| 4 | 11 |
| 5 | 12 |
| 6 | 19 |
| 7 | 20 |
| 8 | 23 |
| 9 | 24 |
| 10 | 26 |
Modifiez la fonction revenu_barre afin de tenir compte de cette modification tarifaire.
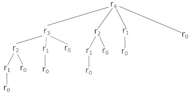
Comme nous avons eu l'occasion de le voir ci-dessus, pour calculer rn il est nécessaire de calculer rn-1, rn-2...mais pour calculer rn-1, il sera aussi nécessaire de calculer rn-2 ! Nous allons donc calculer 2 fois rn-2.
Afin de mieux visualiser la situation, voici un arbre qui permet de mieux visualiser les calculs nécessaires afin de déterminer r4 :

Comme vous pouvez le constater, pour calculer r4, il faut calculer :
- 1 fois r3
- 2 fois r2
- 4 fois r1
Dans cet exemple, cela ne pose aucun problème, mais avec un n plus grand (par exemple r10), nous aurions à effectuer de nombreuses fois exactement les mêmes calculs. On pourrait même imaginer si nous avions à notre disposition des barres de 100 m de long, un nombre de calculs à effectuer qui arriverait aux limites des capacités de nos ordinateurs (calculs très longs à effectuer).
Nous sommes donc typiquement dans le cas où la programmation dynamique pourrait nous être utile afin d'éviter de refaire un grand nombre de fois exactement les mêmes calculs.
6- En vous inspirant de ce qui a été fait dans le cours (suite de Fibonacci et rendu de monnaie), écrivez une fonction revenu_barre_dyn_desc(n) permettant de calculer rn. Cette fonction devra utiliser la programmation dynamique (approche descendante)
7- Toujours en utilisant la programmation dynamique, proposez une fonction revenu_barre_dyn_asc(n) permettant de calculer rn mais cette fois-ci en utilisant une approche ascendante.
activité 16.2
Cette activité s'inspire très fortement de l'exercice 1 du sujet 0.B session 2024. Merci beaucoup à l'autrice ou à l'auteur de cet exercice.
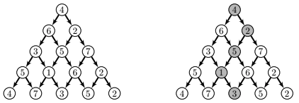
Nolan vient de découvrir un petit jeu amusant dont le but est de trouver un chemin de score maximal dans une pyramide de nombres. Un exemple de pyramide de nombres est représenté ci-dessous. Un chemin dans cette pyramide doit partir du sommet de la pyramide et descendre jusqu’en bas en suivant des flèches, c’est-à-dire en choisissant à chaque niveau de descendre sur la droite ou sur la gauche. Le score d’un chemin est la somme des nombres rencontrés le long de ce chemin. Le chemin gris représenté sur la pyramide de droite a pour score 4 + 2 + 5 + 1 + 3 = 15.

Nolan souhaite utiliser son ordinateur pour chercher à résoudre ce genre de jeux efficacement. Pour cela, on représente chaque niveau par la liste des nombres de ce niveau et une pyramide est une liste de niveaux. La pyramide ci-dessus est donc représentée par la liste de listes ex1 = [[4],[6,2],[3,5,7],[5,1,6,2],[4,7,3,5,2]].
1- Dessiner la pyramide représentée par la liste de listes ex2 = [[3],[1,2],[4,5,9],[3,6,2,1]].
Un chemin dans une pyramide est représenté par la liste des indices des nombres qu’il parcourt à chaque niveau.
Le chemin gris est représenté par la liste ch1 = [0,1,1,1,2]. En effet, le 4 est à l’indice 0 du premier niveau, le
2, le 5 et le 1 sont tous à l’indice 1 de leurs niveaux respectifs et le 3 du dernier niveau est à l’indice 2.
2- Dessiner le chemin ch2 = [0,1,2,2] dans la pyramide représentée par ex2.
3- Calculer le score de ch2 dans la pyramide représentée par ex2.
Dans un premier temps, Nolan souhaite écrire une fonction qui vérifie qu’une liste donnée représente bien un chemin et une autre fonction qui calcule le score d’un chemin.
On remarque qu’une liste ch représente un chemin dans une pyramide p si elle commence par un 0, si lorsque a et
b sont deux éléments consécutifs dans ch alors b = a ou b = a + 1 et ch est de la même longueur que p.
4- Écrire une fonction est_chemin(ch,p) qui prend en paramètre une liste ch et une pyramide p et qui renvoie
un booléen indiquant si ch représente un chemin de la pyramide p. Vérifier que votre fonction est correct en passant à votre fonction le chemin ch2 et la pyramide ex2 (votre fonction doit renvoyer True). Tester aussi votre fonction à l'aide du chemin ch3 = [0, 0, 0, 2]et de la pyramide ex2 (votre fonction doit renvoyer False).
5- Écrire une fonction score(ch,p) qui prend en paramètre un chemin ch et une pyramide p et qui renvoie le
score de ch dans p. Tester votre fonction à l'aide de la pyramide ex1et du chemin ch1 (vous devez obtenir 15)
Maintenant que Nolan est capable de vérifier des chemins et de calculer leur score, il voudrait être capable de trouver un meilleur chemin, c’est-à-dire un chemin dont le score est maximal. Pour cela, Nolan analyse le problème en le décomposant.
Première observation : si on a des chemins maximaux chm1 et chm2 (représentés en gris ci-dessous) pour les
deux pyramides obtenues en enlevant le sommet de ex1, on obtient un chemin maximal en ajoutant le sommet 4
devant le chemin de plus grand score parmi chm1 et chm2. Ici le score de chm1 est 6 + 5 + 6 + 5 = 22 et le score de
chm2 est 2 + 7 + 6 + 5 = 20 donc le chemin optimal dans ex1 est celui obtenu à partir de chm1 et dessinée à droite
dans ex1.

Deuxième observation : si la pyramide n’a qu’un seul niveau, il n’y a que le sommet, dans ce cas, il n’y a pas de choix à faire, le seul chemin possible est celui qui contient le sommet et le nombre de ce sommet est le score maximal que l’on peut obtenir.
Avec ces deux observations, on peut calculer le score maximal possible pour un chemin dans une pyramide p par
récurrence. Posons score_max(i,j) le score maximal possible depuis le nombre d’indice j du niveau i, c’est-à-dire
dans la petite pyramide issue de ce nombre. On a alors les relations suivantes :
score_max(len(p)-1 , j) = p[len(p)-1][j]score_max(i,j) = p[i][j] + max(score_max(i+1,j),score_max(i+1,j+1))
Le score maximal possible pour p toute entière sera alors score_max(0,0).
6- Écrire une fonction calcule_score_max(p) qui renvoie le score maximum pour une pyramide p.
Si on suit à la lettre la définition de score_max, on obtient une résolution dont le coût est exponentiel à cause de
la redondance des calculs. Par exemple score_max(3,1) va être calculer pour chaque appel à score_max(2,0) et
score_max(2,1). Pour éviter cette redondance, Nolan décide de mettre en place une approche par programmation dynamique. Pour cela, il va construire une pyramide s dont le nombre à l’indice j du niveau i correspond à score_max(i,j), c’est-à-dire au score maximal pour un chemin à partir du nombre correspondant dans p.
7- Écrire une fonction pyramide_nulle(n) qui prend en paramètre un entier et construit une pyramide remplie de 0. Cette pyramide aura n niveaux.
8- Écrire une fonction prog_dyn(p) qui prend en paramètre une pyramide p, et qui renvoie le score maximal pour un chemin dans p. Pour cela, elle construit une pyramide s pleine de 0 de la même taille et la remplit avec les valeurs de score_max en commençant par le dernier niveau et en appliquant petit à petit les relations données ci-dessus. On pourra utiliser la programmation dynamique avec une approche ascendante.
9- Déterminer l’ordre de grandeur du coût de cette fonction pour une pyramide à n niveaux.