Les graphes - Structure
Ce cours est très largement inspiré du cours de Gilles Lassus, qui s'est lui même intégralement inspiré du cours de Cédric Gouygou
I. Notion de graphe et vocabulaire⚓︎
Le concept de graphe permet de résoudre de nombreux problèmes en mathématiques comme en informatique. C'est un outil de représentation très courant, et nous l'avons déjà rencontré à plusieurs reprises, en particulier lors de l'étude de réseaux.
1.1 Exemples de situations⚓︎
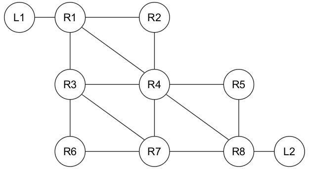
1.1.1 Réseau informatique⚓︎

1.1.2 Réseau de transport⚓︎

1.1.3 Réseau social⚓︎

1.1.4 Poster du courrier⚓︎
Vous êtes le facteur d'un petit village, vous distribuez le courrier à vélo, à la seule force de vos jambes. Vous devez passer devant toutes les maisons du village, ce qui implique de traverser toutes les rues. Mais soucieux de préserver vos forces et de renouveler continuellement votre découverte des paysages, vous ne voulez pas traverser deux fois la même rue. Ici chaque nœud est un carrefour, et chaque arête une rue. Vous êtes en train de chercher un circuit Eulérien !
Il doit son nom à Leonhard Euler, qui chercha à savoir s'il était possible de franchir les 7 ponts de Königsberg sans jamais repasser deux fois sur le même (et en ne traversant le fleuve que grâce aux ponts, bien entendu).
Source de l'image : http://zestedesavoir.com
1.1.5 Généralisation⚓︎
Une multitude de problèmes concrets d'origines très diverses peuvent donner lieu à des modélisations par des graphes : c'est donc une structure essentielle en sciences, qui requiert un formalisme mathématique particulier que nous allons découvrir.

L'étude de la théorie des graphes est un champ très vaste des mathématiques : nous allons surtout nous intéresser à l'implémentation en Python d'un graphe et à différents problèmes algorithmiques qui se posent dans les graphes.
1.2 Vocabulaire⚓︎
En général, un graphe est un ensemble d'objets, appelés sommets ou parfois nœuds (vertex or nodes en anglais) reliés par des arêtes ou arcs ((edges en anglais)). Ce graphe peut être non-orienté ou orienté .
1.2.1 Graphe non-orienté⚓︎

Dans un graphe non-orienté, les arêtes peuvent être empruntées dans les deux sens, et une chaîne est une suite de sommets reliés par des arêtes, comme C - B - A - E par exemple. La longueur de cette chaîne est alors 3, soit le nombre d'arêtes.
Les sommets B et E sont adjacents au sommet A, ce sont les voisins de A.
Exemple de graphe non-orienté : le graphe des relations d'un individu sur Facebook est non-orienté, car si on est «ami» avec quelqu'un la réciproque est vraie.
1.2.2 Graphe orienté⚓︎

Dans un graphe orienté, les arcs ne peuvent être empruntés que dans le sens de la flèche, et un chemin est une suite de sommets reliés par des arcs, comme B → C → D → E par exemple.
Les sommets C et D sont adjacents au sommet B (mais pas A !), ce sont les voisins de B.
Exemple de graphe orienté : le graphe des relations d'un individu sur Twitter est orienté, car on peut «suivre» quelqu'un sans que cela soit réciproque.
1.2.3 Graphe pondéré⚓︎

Un graphe est pondéré (ou valué) si on attribue à chaque arête une valeur numérique (la plupart du temps positive), qu'on appelle mesure, poids, coût ou valuation.
Par exemple:
- dans le protocole OSPF, on pondère les liaisons entre routeurs par le coût;
- dans un réseau routier entre plusieurs villes, on pondère par les distances.
1.2.4 Connexité⚓︎
Un graphe est connexe s'il est d'un seul tenant: c'est-à-dire si n'importe quelle paire de sommets peut toujours être reliée par une chaîne. Autrement un graphe est connexe s'il est «en un seul morceau».
Par exemple, le graphe précédent est connexe. Mais le suivant ne l'est pas: il n'existe pas de chaîne entre les sommets A et F par exemple.

Il possède cependant deux composantes connexes : le sous-graphe composé des sommets A, B, C, D et E d'une part et le sous-graphe composé des sommets F, G et H.
II. Modélisations d'un graphe⚓︎
Pour modéliser un graphe, il faut établir par convention une manière de donner les renseignements suivants :
- qui sont les sommets ?
- pour chaque sommet, quels sont ses voisins ? (et éventuellement quel poids porte l'arête qui les relie)
2.1 Représentation par matrice d'adjacence⚓︎
Principe
- On classe les sommets (en les numérotant, ou par ordre alphabétique).
- on représente les arêtes (ou les arcs) dans une matrice, c'est-à-dire un tableau à deux dimensions où on inscrit un 1 en ligne
iet colonnejsi les sommets de rangiet de rangjsont voisins (dits aussi adjacents).
Ce tableau s'appelle une matrice d'adjacence (on aurait très bien pu l'appeler aussi matrice de voisinage).
2.1.1 Graphe non orienté⚓︎

Dans ce graphe non orienté, comme B est voisin de C, C est aussi voisin de B, ce qui signifie que l'arête qui relie B et C va donner lieu à deux "1" dans la matrice, situé de part et d'autre de la diagonale descendante (un mathématicien parlera de matrice symétrique).
2.1.2 Graphe orienté⚓︎

2.1.3 Graphe pondéré⚓︎

Exercice 1
Soit un ensemble d'amis connectés sur un réseau social quelconque. Voici les interactions qu'on a recensées:
- André est ami avec Béa, Charles, Estelle et Fabrice,
- Béa est amie avec André, Charles, Denise et Héloïse,
- Charles est ami avec André, Béa, Denise, Estelle, Fabrice et Gilbert,
- Denise est amie avec Béa, Charles et Estelle,
- Estelle est amie avec André, Charles et Denise,
- Fabrice est ami avec André, Charles et Gilbert,
- Gilbert est ami avec Charles et Fabrice,
- Héloïse est amie avec Béa.
Q1. Représenter le graphe des relations dans ce réseau social (on désignera chaque individu par l'initiale de son prénom). Il est possible de faire en sorte que les arêtes ne se croisent pas !
Solution Q1

Q2. Donner la matrice d'adjacence de ce graphe.
Solution Q2
\(\pmatrix{ 0 & 1 & 1 & 0 & 1 & 1 & 0 & 0 \\ 1 & 0 & 1 & 1 & 0 & 0 & 0 & 1 \\ 1 & 1 & 0 & 1 & 1 & 1 & 1 & 0 \\ 0 & 1 & 1 & 0 & 1 & 0 & 0 & 0 \\ 1 & 0 & 1 & 1 & 0 & 0 & 0 & 0 \\ 1 & 0 & 1 & 0 & 0 & 0 & 1 & 0 \\ 0 & 0 & 1 & 0 & 0 & 1 & 0 & 0 \\ 0 & 1 & 0 & 0 & 0 & 0 & 0 & 0 \\ }\)
Exercice 2
Construire les graphes correspondants aux matrices d'adjacence suivantes:
Q1. \(M_1 =\pmatrix{ 0&1&1&1&1\\ 1&0&1&0&0\\ 1&1&0&1&0\\ 1&0&1&0&1\\ 1&0&0&1&0\\ }\)
Solution Q1

Q2. \(M_2=\pmatrix{ 0&1&1&0&1\\ 0&0&1&0&0\\ 0&0&0&1&0\\ 1&0&0&0&1\\ 0&0&0&0&0\\ }\)
Solution Q2

Q3. \(M_3=\pmatrix{ 0&5&10&50&12\\ 5&0&10&0&0\\ 10&10&0&8&0\\ 50&0&8&0&100\\ 12&0&0&100&0\\ }\)
Solution Q3

2.1.5 Implémentation Python des matrices d'adjacence⚓︎
Matrices d'adjacence en Python
Une matrice se représente naturellement par une liste de listes.
Exemple: La matrice \(M_1 =\pmatrix{ 0&1&1&1&1\\ 1&0&1&0&0\\ 1&1&0&1&0\\ 1&0&1&0&1\\ 1&0&0&1&0\\ }\), associée au graphe suivant

sera représentée par la variable G suivante :
Complexité en mémoire et temps d'accès :
-
Pour un graphe à \(n\) sommets, la complexité en mémoire (appelée aussi complexité spatiale) de la représentation matricielle est en \(O(n^2)\).
-
Tester si un sommet est isolé (ou connaître ses voisins) est en \(O(n)\) puisqu'il faut parcourir une ligne, mais tester si deux sommets sont adjacents (voisins) est en \(O(1)\), c'est un simple accès au tableau.
La modélisation d'un graphe par sa matrice d'adjacence est loin d'être la seule manière de représenter un graphe : nous allons voir une autre modélisation, par liste d'adjacence.
2.2 Représentation par listes d'adjacence⚓︎
listes d'adjacence ... avec un dictionnaire
-
On associe à chaque sommet sa liste des voisins (c'est-à-dire les sommets adjacents). On utilise pour cela un dictionnaire dont les clés sont les sommets et les valeurs les listes des voisins.
-
Dans le cas d'un graphe orienté on associe à chaque sommet la liste des successeurs (ou bien des prédécesseurs, au choix).
Par exemple, le graphe
sera représenté par le dictionnaire :
listes d'adjacences ... avec une liste
Dans le cas où les sommets sont numérotés de \(0\) à \(n-1\) pour un graphe de taille \(n\), le dictionnaire précédent peut être remplacé
par une liste de listes liste_adjacence:
liste_adjacence[0]contient la liste des voisins du sommet0liste_adjacence[i]contient la liste des voisins du sommeti
Ce graphe a pour liste d'adjacence implémentée avec un dictionnaire :
Ce graphe a pour liste d'adjacence implémentée avec une liste :
Complexité en mémoire et temps d'accès :
-
Pour un graphe à \(n\) sommets et \(m\) arêtes, la complexité spatiale de la représentation en liste d'adjacence est en \(O(n+m)\). C'est beaucoup mieux qu'une matrice d'adjacence lorsque le graphe comporte peu d'arêtes (i.e. beaucoup de 0 dans la matrice, non stockés avec des listes).
-
Tester si un sommet est isolé (ou connaître ses voisins) est en \(O(1)\) puisqu'on y accède immédiatement, mais tester si deux sommets sont adjacents (voisins) est en \(O(n)\) car il faut parcourir la liste.
2.2.1 Exercices⚓︎
Exercice 3
Construire les graphes correspondants aux listes d'adjacence suivantes.
Q1.
G1 = {
'A': ['B', 'C'],
'B': ['A', 'C', 'E', 'F'],
'C': ['A', 'B', 'D'],
'D': ['C', 'E'],
'E': ['B', 'D', 'F'],
'F': ['B', 'E']
}
Solution Q1

Q2.
Solution Q2

Exercice 4
Construire le graphe correspondant à la liste d'adjacences suivante.
Solution
III. Visualiser un graphe⚓︎
1. Avec le module networks⚓︎
Exemple de graphe
On donne le graphe suivant à l'aide du dictionnaire donnant pour chaque sommet la liste des voisins (ou successeurs)
dico = {0:[1, 2], 1:[0, 2, 3], 2 : [0, 1, 3], 3: [1, 2]}
Ce graphe est-il orienté? Pourquoi? Représentez ce graphe sur votre cahier.
Solution
Ce graphe n'est pas orienté, car les arcs entre deux sommets existent tous dans les deux sens.
⏳ Pour sa représentation, voir ci-dessous.
La bibliothèque networks
Pour visualiser ce graphe, nous allons utiliser les bibliothèques networks et matplotlib.
⏳ Attention, ce n'est pas instantané.
Utiliser les bibliothèques networks et matplotlib
La fonction suivante crée un graphe non orienté utilisable par la bibliothèque networks pour le représenter. Cette fonction sera automatiquement appelée pour toutes les représentations suivantes de ce cours, car présente dans du code caché.
def cree_graphe_non_oriente_nx(dictionnaire: dict) -> nx.Graph:
"""
Cette fonction premet de transformer une représentation en dictionnaire en
une représentation «complexe» d'un objet graphe orienté.
- Précondition : l'entrée est un dictionnaire
- Postcondition : la sortie est un graphe orienté (Graph) de Networkx
"""
Gnx = nx.Graph()
for sommets in dictionnaire.keys():
Gnx.add_node(sommets) # Creation des sommets
for sommet in dictionnaire.keys():
for sommets_adjacents in dictionnaire[sommet]:
Gnx.add_edge(sommet, sommets_adjacents) # Creation des arcs
return Gnx
Tester plusieurs fois de suite ci-dessous :
Votre figure
Faire vos essais personnels ci-dessous :
# Tests (insensible à la casse)(Ctrl+I)
(Alt+: ; Ctrl pour inverser les colonnes)
(Esc)
Votre figure
2. Avec le module graphviz⚓︎
Astuce pour exécuter une cellule dans un notebook
Raccourci clavier : Nous allons utiliser la touche Maj + Entrée
Graphe orienté⚓︎
Graphe orienté avec le module graphviz sur basthon
Graphe non orienté⚓︎
Graphe non orienté avec le module graphviz sur basthon
IV. Création d'une classe Graphe⚓︎
Dans cette partie, nous ne traiterons que des graphes non-orientés.
Interface souhaitée⚓︎
Nous voulons que le graphe
puisse être créé grâce aux instructions suivantes :
g = Graphe(['A', 'B', 'C', 'D', 'E'])
g.ajouter_arete('A', 'B')
g.ajouter_arete('A', 'C')
g.ajouter_arete('A', 'D')
g.ajouter_arete('A', 'E')
g.ajouter_arete('B', 'C')
g.ajouter_arete('C', 'D')
g.ajouter_arete('D', 'E')
Une classe Graphe
1. On donne :
class Graphe:
def __init__ (self, sommets):
self.sommets = sommets
self.dic = {sommet: [] for sommet in self.sommets} # création par compréhension
def ajouter_arete(self, x, y):
if y not in self.dic[x]:
self.dic[x].append(y)
if x not in self.dic[y]:
self.dic[y].append(x)
def get_sommets(self):
return self.sommets
def get_voisins(self, x):
return self.dic[x]
def get_dictionnaire(self):
return self.dic
A quoi voit-on que le graphe créé est non orienté ?
Solution
La fonction ajouter_arete(self, x, y) ajoute, s'il n'y est pas déjà, y dans la liste d'adjacence de x, et x dans la liste d'adjacence de y.
2. On donne :
g = Graphe(['A', 'B', 'C', 'D', 'E'])
g.ajouter_arete('A', 'B')
g.ajouter_arete('A', 'C')
g.ajouter_arete('A', 'D')
g.ajouter_arete('A', 'E')
g.ajouter_arete('B', 'C')
g.ajouter_arete('C', 'D')
g.ajouter_arete('D', 'E')
Déterminer sur papier le dictionnaire représentant le graphe créé.
Solution
3. Compléter le code suivant pour faire afficher ce dictionnaire
# Tests (insensible à la casse)(Ctrl+I)
(Alt+: ; Ctrl pour inverser les colonnes)
(Esc)
4. Visualisation du graphe donné par la liste d'adjacence créée ci-dessus
Exécuter ci-dessous (la fonction cree_graphe_non_oriente_nx est déjà présente dans du code caché):
# Tests (insensible à la casse)(Ctrl+I)
(Alt+: ; Ctrl pour inverser les colonnes)
(Esc)
Votre figure
5. Compléter ci-dessous pour créer votre propre graphe non orienté et le représenter.
# Tests (insensible à la casse)(Ctrl+I)
(Alt+: ; Ctrl pour inverser les colonnes)
(Esc)
Votre figure
Exercice : utiliser la classe Graphe
Utiliser la classe Graphe ci-dessous pour créer le graphe dont on donne le dictionnaire des listes d'adjacences:
dico = {0:[1, 2], 1:[0, 2, 3], 2: [0, 1, 3], 3: [1, 2]}
Pour vérifier, vous ferez afficher le dictionnaire obtenu, puis le graphe. Vous pourrez pour cela procéder de façon analogue à ce que l'on a déjà vu.
# Tests (insensible à la casse)(Ctrl+I)
(Alt+: ; Ctrl pour inverser les colonnes)
(Esc)
Votre figure
# Tests(insensible à la casse)(Ctrl+I)
(Alt+: ; Ctrl pour inverser les colonnes)
(Esc)