Dans cet exercice, on considère un graphe non orienté représenté sous forme de listes
d’adjacence. On suppose que les sommets sont numérotés de 0 à n-1.
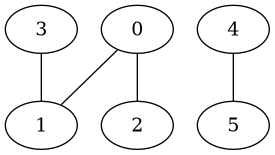
Ainsi, le graphe suivant:
sera représenté par la liste d’adjacence suivante:
adj = [[1, 2], [0, 3], [0], [1], [5], [4]]
On souhaite déterminer les sommets accessibles depuis un sommet donné dans le graphe.
Pour cela, on va procéder à un parcours en profondeur du graphe.
Compléter les fonctions parcours et accessibles.
La fonction parcours prend en paramètres une liste d'adjacence liste_adjacence, un entier x représentant un sommet, et la liste des sommets accessibles sommets_accessibles
Elle réalise un parcours en profondeur récursif du graphe donné par les listes
d'adjacence adjacence depuis le sommet x en accumulant les sommets rencontrés dans la liste
sommets_accessibles
La fonction accessibles prend en paramètres une liste d'adjacence liste_adjacence, un entier x représentant un sommet.
Elle renvoie la liste des sommets accessibles dans le graphe donné par la listes d'adjacence liste_adjacence depuis le sommet x
# Tests(insensible à la casse)(Ctrl+I)
(Alt+: ; Ctrl pour inverser les colonnes)
(Esc)