Taille récursive d'un arbre binaire

Dans cet exercice, un arbre binaire de caractères est stocké sous la forme d’un dictionnaire où les clefs sont les caractères des nœuds de l’arbre et les valeurs, pour chaque clef, la liste des caractères des fils gauche et droit du nœud.

On utilise la valeur '' pour représenter un fils vide.

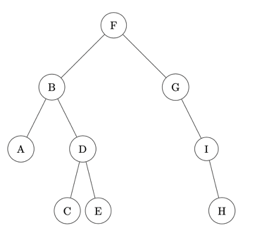
Par exemple, l’arbre

image

est stocké dans

Python
a = {'F':['B','G'], 'B':['A','D'], 'A':['',''], 'D':['C','E'], \
'C':['',''], 'E':['',''], 'G':['','I'], 'I':['','H'], \
'H':['','']}

Écrire une fonction récursive taille prenant en paramètres un arbre binaire arbre non vide représenté par un dictionnaire comme vu ci-dessus et un caractère lettre. La fonction doit renvoyer la taille de l'arbre, ou du sous arbre de arbre de sommet lettre.

On observe que, par exemple, arbre[lettre][0], respectivement arbre[lettre][1], permet d’atteindre la clé du sous-arbre gauche, respectivement droit, de l’arbre arbre de sommet lettre.

Exemple

Python Console Session
>>> taille(a, 'F')
9
>>> taille(a, 'B')
5
>>> taille(a, 'I')
2
Compléter le code ci-dessous

###(Dés-)Active le code après la ligne # Tests (insensible à la casse)
(Ctrl+I)
Entrer ou sortir du mode "deux colonnes"
(Alt+: ; Ctrl pour inverser les colonnes)
Entrer ou sortir du mode "plein écran"
(Esc)
Tronquer ou non le feedback dans les terminaux (sortie standard & stacktrace / relancer le code pour appliquer)
Si activé, le texte copié dans le terminal est joint sur une seule ligne avant d'être copié dans le presse-papier
Évaluations restantes : 5/5

.128013w]itkc[vo-)yl0bp_P3(a;+g=/m4rse9Sf,d :12nuh050K0F0e0v0d0n0E0L0g0n0v0E0E0z010e0d0q010406050E0Q0B0B0v0D0m040H0j0n0Q0,0j0P050A0?0^0`0|0;0q04051c151f0A1c0;0K0d0i0!0$0(0*0$0P0y0Q0v0y0F0k0q0m0e0R130L0R0d0y0R0n1H0R0e0/050V0p0n0F1o0%0)011G1I1K1I0e1Q1S1O0e0D1d1C0!0 0E0q0v0P0*0O011U1q010I0X0F0P0v0B0F1O1:1=1`1W1}1S20220/0a0L0s0D0j0q0j0E0d120P0L0T1.0D0D0F0g2n15250P1d0A1C2A1*1,1+1P0K271r0d0P1 2k1O1l1n0#1V2K2M0P0j2Q1O0q2t1d2y2A2%0=1;2o2S1{2W0D0_0n1O0v1F2t0I0*030r0r0g2X0F1K2V0j0k0O0k0N0/0N150v2(2+0:2*262-1W2/2;2?2^0F2`012|2~30322N35350/0O3b3d1=3f2y2J013k0v2=1d2@0R2_2{2}2 0T3u2W3w0t0/0t3A2x3e0;3E3i0*3H3J053L3N3q3P3t2L3v360C0/0C3Y163e1g2#152Q2D0K1,2I3%013Q231d401e3~2)3{3C05472$2+0L0d0K0*2}2y3w383K4k4m013/3R3;3T36380L2b0F4n3s4x334q1O0A3c3g2,1p1W0f0/0T0I3Z4f3$4P0*0b0/0L4V2z4N3F0P0I0/0V0X1S4%4i3h4Y010.040u4;4)450P0/0`0p2t4|4X2T4^0/0J4;4$552.0/1S1$534e4(5c1W4_0l0M4;0;5i4=2o4l4F4p361^4s5u4v4G314y345x1_4D4F473S5F3x2A3c0L5Q5b4j454R040d4U5r5S4?564 045f1*0F5a4}4@0j0/0z0z5,5k0*0E4r02030t0G0w5{5}0w545T4@4_5o5r5q2)3E5A4o2+3U3m6c5C5L6f4C214E5B5K5E6f5O045R6u5!4O565V2t0e0Q0D145Z5-560B0d0/0o5p63266h5w0k3@5z4u4w5D4I3?5H6m5J3:6X6R4K5P5R6G1{6z0U6C6E2%6w3F6I395?64565/040x6`5#5d044.0n4:5r6,5l0/4{775@3G500D525+7c6{1{4_596F7d5%515h6a7k79040h6N6x725)7s3|7d4_0c7x7j711W6^046L7I7z7v0c0l707P0*6}6 7o7u3(4-0W757i7t7J0*4_7b7)7U7e047r7(7D7Z57047n6=787!7;7g7C4W7^4_7H7.4*5e0U5*7y3F7F857@7*017L3a7O8c0/7R6M770A4h3}0F2A4a2B42152E8y0v1R8t3 1m3f0A0T740E04.